三相调压器价格多少?不同规格报价对比
三相交流电路实际上是由单相交流电路组合在一起的的一种复杂电路,上一讲的有关正弦电流电路的基本理论、基本定律和分析方法完全适用于三相正弦电流电路,但三相电路又有其自身的特点,这一讲重点讲的就是它的自身特点。
6.2 三相正弦量
对称的三相正弦量:三个频率相同,幅值(有效值)相等而相位互差120º的正弦交流电量。
三相交流发电机:

对称三相正弦电源:就是由三相交流发电机产生的对称三相电压,按一定的连接方式组成的三相电源。这三个电压依次称为 A 相、B 相和 C 相,其电压表达式分别为:

三相交流电压对应的相量形式分别为:

式中的算符
是 120°的旋转因子,即:
对称三相正弦电压满足以下关系,三相交流电压代数和为零,这也是三相交流电路的理论基础:
其波形图和相量图为:

相序:在三相电压中,各相电压经过同一量值(如幅值)的先后次序称为三相电源的相序。
正序和负序:三相电压的相序为A-B-C时,称为正序。如果相序为C-B-A(或A-C-B),称为负序。如果无特别说明时,三相电源均认为是正序对称三相电源。
在工程实践中,一般用不同的颜色(电线)来区分三相电源的A、B、C三相。国家规定:用黄、绿、红分别表示A、B、C三相。
6.3 三相电源与负载的连接
我们可以把一个三相电源可以看成是三个单相电源;三相负载也可看成三个单相负载。三相电源与电源之间,三相负载与负载之间,一般有星形(Y)和三角形()两种接法。
一、三相电源的连接
1.三相电源的星形连接 Y接 三相四线制

将三相电源末端(X、Y、Z)连接在一起,称为中性点(用N来表示),从N引出的导线称为中线(如果中线接地,又称零线)。
从始端A、B、C端引出的三根导线称为相线(俗称火线)。
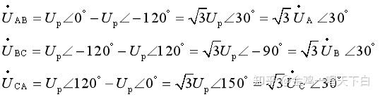
线电压:A、B、C相线之间的电压称为线电压。线电压的参考方向用双下标表示,并习惯上按相序的次序排列,记为
相电压:端点与中性点之间的电压。相电压的参考方向也用双下标表示,记为
线电压和相电压的有效值一般分别用
来表示。三相线电压和三相相电压之间的关系:

相电压之间:大小相等、相位相差120度。
线电压:

小结:
(1)在星形连接中,当相电压对称时,线电压也是对称的;
(2)线电压有效值是相电压有效值的
倍,即
(3)线电压超前于对应的(先行相的)相电压

相电流:流过电源每一相的电流,相电流的有效值为
线电流:流过端线的电流,线电流的有效值为
三相电源作星形连接时,每相的线电流等于对应的相电流。
2.三相电源的三角形连接
把对称三相电压源首尾顺序相接,即X与B、Y与C、Z与A相接,再从各端点A、B、C依次引出端线。
在三角形闭合回路中总的电压为零,即
所以,三相电源作三角形连接时,必须把始、末端依次正确连接;否则会造成闭合回路中总的电压不为零,形成电流环路而烧毁发电机线圈。

三相电源三角形连接时线电压等于对应的相电压,但线电流不等于它的相电流。
二、三相负载的连接
三相对称负载:当三个相的负载都具有相同的参数时,三相负载称为对称的三相负载。与三相电源一样,三相负载也有星形、三角形两种连接方式。
1.三相对称负载的星形联接

星形连接负载
端通过输电线对应接至三相电源的端线,而将负载中点连接到三相电源的中线。这种用四根导线把电源和负载连接起来的三相电路称为三相四线制。
三相负载作星形连接时,线电流等于流过各相负载中的相电流。
在三相四线制电路中,流过中线的电流为 :
如果三相电流对称,则中线电流为零。可把中线省去。这种用三根导线把电源和负载连接起来的三相电路称为三相三线制。

2、三相对称负载的三角形联接
将三相负载连接成三角形。

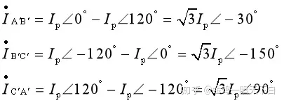
各负载的相电压等于对应的线电压。相电流分别为
线电流分别为
按照上图图示的电流参考方向,根据电流定律KCL有:

如果三相电流也是对称的,设

小结:
(1)在三角形连接中,如果相电压对称时,线电流也是对称的;
(2)线电流有效值是相电流有效值的
倍,即
(3)线电流滞后于对应的(后续相的)相电流

线电流和相电流之间的关系 相量图
总结:
根据电源、负载连接形式的不同,三相电路的形式有:
Y-Yo连接、Y-Y连接、 Y-连接、-连接和-Y连接等。
例题1解析:已知三相负载采用星形连接,
外加三相电压对称,其线电压为380V。求:
(1)三相负载每相阻抗为(17.3+j10)Ω时各相电流和中线电流;
(2)断开中线后的各相电流;
(3)如果仍保持有中线,将C相负载改为20Ω时,各相电流和中线电流。

解:(1)由于三相电压对称,每相负载相电压相同为:
假设A相电压为:
则:
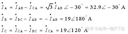
各相的电流为:

中线电流为:
(2)由于三相负载对称、三相电流对称,中线电流为零,所以断开中线时三相电流不变。
(3)外加电压不变的情况下,由于A相和B相负载不变,所以这两相电流不变,计算C相电流如下:
这样,中线电流为:
从本例可以导出以下结论:三相负载对称,中线不起作用;负载不对称,则中线能使负载处在电源的对称电压作用之下,但中线里存在电流。
例题2解析:将例题1中的负载改为三角形连接,接到同样电源上。 试求:(1)负载对称时各相电流和线电流;(2)BC相负载断开后的各相电流和线电流。

解:设A相电压
根据对称三相电路,相电压和线电压之间的关系,则:

负载因为是三角形连接,所以每相承受的是线电压,其相电流为:

各线电流为:

(2)因为是三角形连接,如果BC相负载断开,则
而其它两相不受影响,AB和CA每相电流不变。线电流:

由本例可见,三相负载三角形连接,负载承受线电压,端线阻抗为零(或很小)时,负载的电压不受负载不对称和负载变动的影响。对称的三角形连接负载。其相电流对称,线电流也对称。
6.4 三相正弦交流电路分析一、对称三相电路
三相电路实际是正弦电流电路的一种特殊类型。因此,前面对正弦电路的分析方法对三相电路完全适用。
对称三相电路就是以一路(或多路)对称三相电源通过对称三相输电线接到一组(或多组)对称三相负载组成的三相电路。
对称三相四线制(Y-Yo)电路是对称三相电路中典型的电路,只要掌握Y-Yo电路的分析与计算,对于其它连接形式的对称三相电路的计算,都可以通过三相电源或三相负载的Y-转换成为Y-Yo电路来加以解决。

在上述电路中,假设电源每相阻抗为
、中线阻抗为
、火线阻抗为
,负载每相阻抗为
。根据节点电压法则:

因为:
所以:即
两点等电位

可知:各相电流是对称的。中线电流:
三相负载的每相电压分别为:
负载的相电压是对称的,线电压也对称。
总结:对称的Y-Y三相电路具有下列特点:
(1)中线不起作用。
(2)各相彼此独立,不相互影响。
(3)各相的电流、电压都是和电源电压同相序的对称量。
所以,对称三相电路可使用一相电路计算,方法是只需画出一相电路,然后用短路线将即
两点连接起来。不过,需要注意的是在一相电路中不包括中线阻抗。

二、不对称三相电路分析
三相电路的不对称,可能是因为三相电源电路不对称、三相负载不对称或三相线路阻抗不同引起的。
不对称三相电路中的三相电流通常是不对称的,因此对于这种电路不能按照对称三相电路的计算方法化为单相来求解,只能把不对称三相电路看成是含有三个正弦电源的复杂正弦电路来分析计算。对于各种不对称三相电路的求解,通常采用节点电压法进行分析计算。

根据弥尔曼定理:
当电源对称、负载不对称时:

由于负载不对称,在相量图上
两点不重合,而出现位移,称为负载中性点对电源中性点位移。中性点位移的大小直接影响到各相负载的电压。如果各相的电压差过大,就会给负载带来不良的后果。

如果采用的是三相三线制,即没有中线,中性点位移最大,这是最严重的情况 。如果采用中线,又使得中线阻抗为零,就没有中性点位移。这时尽管负载不对称,由于中线阻抗很小,强迫负载中性点电位接近于电源中性点电位,而使各相负载电压接近对称。
因此,照明线路中必须采用三相四线制,同时中线连接应可靠并具有一定的机械强度,同时规定中线上不准安装熔断器(俗称保险丝)或开关。
6.5 三相正弦交流电路的功率一、有功功率、无功功率、视在功率
1、有功功率
有功功率又称平均功率。在三相电路中,三相负载的有功功率是各相负载的有功功率之和,即:
式中
分别为A、B、C各相相电压与相电流之间的相位差。
对称三相电路:
即对称三相电路的有功功率等于一相有功功率的三倍。因为对称三相电路中负载任何一种接法的情况下,总有:
所以又可写成:
式中
分别是线电压、线电流,
仍为相电压与相电流之间的相位差。
2、无功功率
在三相电路中,三相负载的总无功功率等于各相的无功功率之和。即:
对称三相电路:
3、视在功率与功率因数
三相负载的总视在功率为:
三相对称时,有:
三相负载的总功率因数为:
三相对称情况下
也就是一相负载的功率因数,
为负载的阻抗角。
二、对称三相电路中的瞬时功率
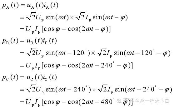
对称三相电路中各相的瞬时功率可写为:

它们的和为:
结论:对称三相制的正弦交流电路其瞬时功率是一个常量。 其值等于平均功率。瞬时功率恒定的这种性质称为瞬时功率的平衡。瞬时功率的平衡的电路称为平衡制电路,三相电路是平衡制电路。
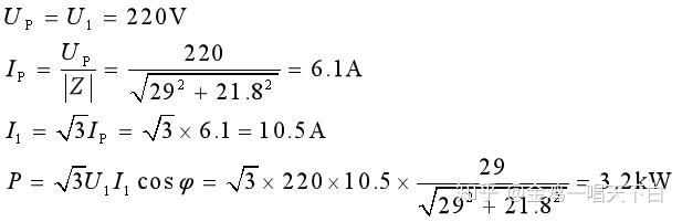
例题解析:有一个三相负载,每相等效阻抗为(29+j21.8)Ω ,求下列两情况下的功率:(1)星形连接,接于Ul=380V三相电源上;(2)三角形连接,接于Ul=220V三相电源上。
解:(1)星形接,负载相电压

(2)三角形连接

显然,在两种接法中,星形连接时线电压增大到
倍,三角形连接时线电流增大到
倍,而两种接法的相电压、相电流及三相功率都未改变。
输电线路并联电抗器到底是吸收感性无功还是吸收容性无功啊?
https://zhuanlan.zhihu.com/p/176988280