锦西石化必看:制氢加氢车间关键技术进展与政策解读
本文围绕制氢关键技术的研究进展进行综述,分析了氢能发展的背景,整理并解读了当前我国与氢能相关的政策,并调研了几项国内典型制氢项目。对氢能产业链中制氢环节应用现状及关键技术原理进行了梳理和对比,包括煤制氢、醇类制氢及电解水制氢技术的原理、电解槽结构及数学模型,并分析了由“灰氢”到“绿氢”转化的重要意义,为我国“绿氢” 制取关键技术的发展提供借鉴和参考。
1、我国氢能产业发展现状
做好碳达峰、碳中和工作,即力争在2030年前使国内二氧化碳排放达到峰值,2060年前实现碳中和,是我国今后一段时期的重点任务之一。积极探索新型清洁能源有助于促进我国碳达峰、碳中和工作的加速进行,加快产业结构的优化。氢能作为一种储量丰富、热值高、能量密度大、来源多样的绿色能源,被誉为21世纪的“终极能源”。氢能的开发利用也受到了世界各国的高度重视,美国、日本、澳大利亚等国已制定相关政策,将氢能列为国家能源结构的重要组成部分,我国也在积极布局氢能发展战略,逐步完善氢能政策体系。
2016年,国家发展改革委、国家能源局印发《能源技术革命创新行动计划(2016—2030 年)》,将氢能列为15项能源技术革命重点任务之一,把可再生能源制氢、氢能与燃料电池技术创新作为重点任务。使用可再生能源电解水制氢是氢能产业新的发展趋势,使用弃风、弃光、弃水打通制氢环节路线,可最大程度避免能源浪费,提高电解水制氢的经济性,符合绿色能源可持续发展需求。
2020年5月,中共中央颁布《2020 年政府工作报告》,提出引导加大氢燃料电池基础科研投入, 鼓励能源企业建立稳定、便利、低成本的氢能供应体系,制定国家顶层氢能规划。
2020年9月8日,国家发展改革委、科技部、工业和信息化部、财政部4部委联合印发《关于扩大战略性新兴产业投资 培育壮大新增长点增长极的指导意见》,意见指出,加快新能源发展,加快制氢加氢设施建设。随着氢能相关政策的颁布和完善,国家还鼓励支持了一大批氢能项目的建设发展,如表1所示。

随着我国政策的引导以及大批氢能项目落地实施,氢能技术不断突破,产业体系逐步完善,我国氢能领域的发展已加速进入产业化阶段。经过多年的工业积累,中国已经是世界最大的制氢国,氢能市场潜力巨大。中国每年仅风力、光伏、水电等可再生能源弃电约1000亿 kW·h,可用于电解制氢约200万t,如果能将这些富余的被弃掉的能源用于电解制氢,将会大大减少能源浪费。近年来,我国氢能产业发展速度快、覆盖广,截至2020年1月,我国已建成加氢站61座(图1),规划和在建的加氢站有84座,内蒙古、辽宁、山东、河南、湖北、广东、四川、安徽等地均有分布。

但是,我国氢能产业还存在诸多问题,如关键技术亟待突破,缺乏自主知识产权,基础设施仍有待加强等。对此,本文从氢能产业链制氢环节关键技术切入,分析总结国内外制氢技术现状,并结合我国制氢领域亟待解决的问题,对 3 种主流制氢工艺进行分析,总结现有技术的优缺点,最后对氢能未来技术发展方向进行展望,对我国氢能产业发展提出建议,以期对我国氢能产业的发展提供指导。
2、制氢关键技术
氢气制备主要技术工艺有热化学制氢和水电解制氢,其中热化学制氢技术主要有化石能源制氢及化工原料制氢。化石能源制氢包括水煤气制氢、天然气重整制氢等,目前已经进行工业生产,技术相对成熟,但能量的产出大于投入,若用此法制氢发电,能量转换效率低,经济性差,因此传统能源制氢并非理想的制氢技术。化工原料制氢主要有醇类裂解制氢、醇类重整制氢,如甲醇水蒸气重整制氢。水电解制氢法即利用光伏、风电等新能源电力电解水制氢,这种制氢方式近零碳排放,可充分利用“三弃”(弃风、弃光、弃水)能源水解制氢,还可以大大降低制氢成本,是实现“绿氢”生产的重要技术环节, 也是氢能领域投资的重点领域。

表2列出了当前阶段不同制氢技术的对比,可以看出:化石能源制氢技术虽然成熟度较高且经济性较好,但碳排放量较大,违背了氢能作为清洁能源的本质,不适合长期发展;可再生能源电力电解水制氢技术成熟,且环保性好、碳排放少,但是其制氢成本较高,可以考虑采取“三弃”能源制氢, 以大幅降低制氢成本。不同制氢技术所使用的制氢原料及制氢工艺大有不同。
2.1 制氢原料
图2给出了目前全球制氢原料占比和主流制氢方法的经济性对比。由图2a)可以看出,在所有制氢原料中,天然气使用最为广泛,占比达到48%, 其次是醇类(占比为30%),电解水使用较少,占比仅为4%。

目前,全球制氢技术的主流选择是化石能源制氢和化工原料制氢,这主要是由于化石能源制氢和化工原料制氢的成本较低(图2b))。此外,由于清洁性好、效率高、成本低,采用天然气重整制氢具有较大利润空间。采用电解水制氢是当前制氢环节的研究热点,技术也较为成熟,其他新型制氢法尚未应用于大规模制氢。
从制氢原料占比来看,近期我国仍将主要采用化石能源制氢和工业副产氢+碳捕集、利用与封存(carbon capture, utilization and storage,CCUS)技术(即“蓝氢”),助力化石能源制氢降低碳排放。而随着我国可再生能源装机容量不断增大,在西北地区出现大量弃风弃光现象,如果能够将弃风弃光所发电力用于电解水制氢(“绿氢”,即采用风电、光伏等可再生能源电解水制氢),“绿氢”制取经济性也非常可观。因此,长远来看,随着碳达峰、碳中和工作的推进,“绿氢”将成为氢能应用的主流选择。
2.2 制氢工艺
现有主要制氢方式如图3所示,其中:较为成熟的技术路线有3种,即使用煤炭、天然气等化石能源重整制氢,以醇类裂解制氢技术为代表的化工原料高温分解重整制氢,以及电解水制氢;光解水和生物质气化制氢等技术路线仍处于实验和开发阶段,相关技术难以突破,尚未达到规模化制氢的需求。


表3给出了典型制氢工艺中各类能源的能量转换效率与碳排放量。
由表3可以看出:虽然化石能源制氢工艺成熟且原料价格低廉,但是会排放大量的温室气体,对环境造成污染,因此环境成本极高;而电解水制氢工艺几乎无碳排放,符合绿色发展及可持续发展的环保理念。
2.2.1 化石能源重整制氢
天然气制氢技术中,蒸汽重整制氢较为成熟, 是国外主流制氢方式。其原理是:先对天然气进行预处理,甲烷和水蒸汽在转化炉中反应生成一氧化碳和氢气等;经余热回收后,在变换塔中,一氧化碳和水蒸气反应生成二氧化碳和氢气。该技术是在天然气蒸汽转化技术的基础上实现的。在变换塔中,在催化剂存在的条件下,控制反应温度, 转化气中的一氧化碳和水反应,生成氢气和二氧化碳。主要反应式为
目前,国内天然气重整制氢、高温裂解制氢主要应用于大型制氢工业。天然气制氢过程的原料气也是燃料气,无需运输,但天然气制氢投资比较高,适合大规模工业化生产。一般制氢规模在5000m3/h以上时选择天然气制氢工艺更经济。此外,天然气原料占制氢成本的70%以上,天然气价格是决定氢价格的重要因素,而我国富煤、缺油、少气的能源特点,制约着天然气制氢在我国的实施。
煤气化制氢是工业大规模制氢的首选,也是我国主流的化石能源制氢方法。该制氢工艺通过气化技术将煤炭转化为合成气(CO、CH4、H2、CO2、N2 等),再经水煤气变换分离处理以提取高纯度的氢气,是制备合成氨、甲醇、液体燃料、天然气等多种产品的原料,广泛应用于石化、钢铁等领域。煤制氢技术路线成熟高效,可大规模稳定制备,是当前成本最低的制氢方式。
2.2.1 甲醇水蒸气重整制氢
甲醇水蒸气重整制氢,即甲醇和水在一定温度、压力和催化剂作用下转化生成氢气、二氧化碳以及少量一氧化碳和甲烷的混合气体,该方法产物中氢气体积分数是甲醇制氢法中最高的。甲醇水蒸气重整制氢具有反应温度低、产物氢气体积分数高、一氧化碳体积分数(<2%)较甲醇分解制氢法低等优点。因此,目前开发的甲醇制氢技术主要采用甲醇水蒸气重整制氢工艺,其反应机理见式(3),工艺流程如图4所示。甲醇水蒸汽重整制氢装置已经广泛用于航空航天、精细化工、制药、小型石化、特种玻璃、特种钢铁等行业。

2.2.3 电解水制氢
化石能源重整制氢、甲醇水蒸气重整制氢过程均有含碳化合物的排出,不符合可持续发展和绿色发展的环保理念,而电解水制氢过程为水电解生成氢气和氧气,无含碳化合物的排出,绿色环保。目前,我国正处于能源转型的关键阶段,将可再生能源(太阳能、风能等)转化为氢气或者含氢燃料的能源载体,有助于推进我国能源转型进程,促进我国能源多元化发展。
可再生能源电解水制氢技术路线如图5所示。

图5中,根据电解质种类,电解槽可分为碱性电解槽、质子交换膜(proton exchange membrane,PEM)电解槽、固体氧化电解槽(solid oxide electrolyzecells,SOEC)3种。不同电解水制氢技术参数及特点对比见表4。

由表4可以看出:碱性电解水制氢技术是目前市场化最成熟、制氢成本最低的技术;质子交换膜电解水制氢技术较为成熟,具有宽范围的运行电流密度,可以更好地适应可再生能源的波动性,是国外发展的重要方向,我国应加大质子交换膜电解水制氢技术的研发力度,加强与国外领先单位的合作研发;固体氧化物电解水制氢技术是能耗最低、能量转换效率最高的电解水制氢技术,国外学者在Science上发表的文章指出,固体氧化物电解槽可在动态电力输出下工作,并不会有明显衰减。因此,固体氧化物电解水制氢技术有望实现大规模、低成本的氢气供应,应重点关注并提前进行技术和专利布局。
以PEM电解槽为例,其工作原理如图6所示。

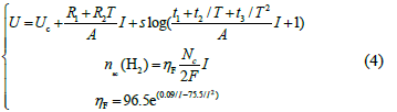
PEM电解槽由膜电极组件(MEA)、气体扩散层(GDL)及带有流道的隔板(双极板)组成。电解槽中,水经过电解在阳极产生氧气,在阴极产生氢气,因此在产生的气体出口设置了流量计。典型的碱性电解槽考虑温度影响的U-I特性曲线模型及电解槽制氢量相关模型可以用式(4)表示。

式中:Uc为电压常数;T是温度,单位K;R1、R2是电解液的欧姆电阻参数,Ωm2;s是与稳定相关的过电压系数,V;t也是与稳定相关的过电压系数,K/A;nac(H2)指实际制氢量;ηF为法拉第效率;Nc为系统中电解槽的个数;F为法拉第常数。PEM电解槽的电流由可再生能源发电的输出功率及电解槽相关特性参数决定。
通过利用可再生能源发电的弃水、弃光、弃风电力,电解水制氢可平抑风力、光伏等发电输出的波动性,并减少能源浪费,解决弃电问题。另一方面,可以通过远距离输运氢燃料,将可再生能源从资源丰富的地区高效转移到用能负荷中心,利用氢气发电增强电网的协调性和可靠性,有效解决可再生能源供需存在的区域错配问题。上述整个过程清洁环保,几乎不产生二氧化碳。但是,可再生能源电解制氢成本较高,因此,“绿氢”的制取亟需可再生能源电解水制氢技术的进一步攻关,降低制氢成本,助力碳达峰、碳中和任务的推进。
综合对比以上3种制氢技术:煤、天然气制氢技术最为成熟,尤其煤制氢在我国具有较大成本优势,但此法制得的“灰氢”不符合能源向低碳转型的绿色发展需求;电解水制氢技术可以制得“绿氢”,能源效率高,但是成本较高,经济性较差。3种制氢工艺的技术水平及经济性对比见表5。

煤或天然气制得的“灰氢”通过CCUS技术可转化为“蓝氢”,该技术也是我国实现碳中和目标技术组合的重要一环。随着碳达峰、碳中和工作的深入进行,制氢领域面临的挑战将是实现无碳或碳中性(“绿氢”或“蓝氢”)的技术(目前通过电解水制取“绿氢”来替代),并将这些技术以更大规模推广应用,进而降低生产成本,产生经济效益。
3 、结语
氢能是一种理想的新型能源,通过风光等新能源电力制氢,并将氢与燃料电池结合发电,以此形成氢能产业生态圈有助于保障我国能源安全,加快构建清洁化、低碳化的氢能供应体系,对我国可持续发展战略具有重大意义。氢储能可以作为储能系统新思路,解决可再生能源消纳能力不足及新能源并网问题。氢结合燃料电池发电是氢能全生命周期应用的关键技术环节,氢气发电可以产出多种有直接经济效益的产品(如纯氧),达到大量减少二氧化碳排放的目的,具有很好的经济效益和环保效益。
氢能应用前景广阔,但有部分难题亟待解决。氢气扩散能力强,易燃易爆,与金属接触容易导致氢脆,不好储存,因此妥善解决氢能的储运问题是氢能安全高效使用的关键。此外,电解水制氢成本较高。基于上述问题,提出以下建议:
1)今后应紧紧围绕氢能的制、储、运、用4个环节,着力建设完善氢能体系,加大氢能源与电网的互动性,促进我国能源转型;
2)明确氢能发展定位,给予氢能产业完善的政策支持;
3)大力发展电解水制氢技术,利用弃风、弃光、弃水资源制取“绿氢”,解决电解水制氢经济性难题及能源浪费问题;
4)大力发展可再生能源(如风电与太阳能)与氢气储能结合,促进氢能在储能领域的发展,加速推进我国碳达峰、碳中和工作。